找回密码
 注册
搜索
热搜: 嘉康利
爱赣榆 首页 资讯 调查 查看内容

为什么我们看见的彩虹

2013-4-29 20:29| 发布者: 肖露露| 查看: 50| 评论: 0

摘要:         想必很多人都见过彩虹,一说到它,你脑海里总能浮现出一道七色圆弧。但你知道彩虹为什么是弯的吗?彩虹真的是恰好七种颜色吗?      古代人对彩虹的观察和研究      对彩虹 ...
  

  

  想必很多人都见过彩虹,一说到它,你脑海里总能浮现出一道七色圆弧。但你知道彩虹为什么是弯的吗?彩虹真的是恰好七种颜色吗?

  

  古代人对彩虹的观察和研究

  

  对彩虹的研究最早可以追溯至公元前 4 世纪。亚里士多德是第一个认真研究彩虹的人,他曾指出彩虹最为重要的几个特征,比如:如果太阳在地平线上升起得不太高,彩虹就会出现。彩虹不会出现在夏日的中午,我们可以同时看到两条形状相同但颜色顺序排列相反的彩虹,其中外侧那条显得略为松散,彩虹主要由三种(或四种)颜色组成(现代的RGB三原色理论亦基于此),但是有一个很重要的现象亚里士多德并没有注意到,那就是两条虹中间的区域亮度较暗,直到公元约 200 年雅典哲学家亚历山大(Alexander of Aphrodisia)才观察到这个现象,所以后人就将这条暗带命名为“亚历山大暗带”(dark band of Alexander)。另外,亚里士多德对彩虹的解释并不正确,他认为只有大的镜子可以反射出物体的全部外形,他把天空中的水滴比做小镜子,认为这个镜子太小了,不可能反射出整个太阳,但是又必须得有什么东西反射出来,所以会有颜色呈现出来。而且,亚里士多德也没有注意到光的折射作用。

  

  在此之后,古罗马哲学家塞内卡、波斯物理学家海什木等人也都曾发表过自己的看法。中国北宋时期一位叫 孙思恭 的精通天文历算的进士也曾说过“虹乃雨中日影也,日照雨则有之”(沈括《梦溪笔谈》),这些均只停留在对现象的思考上,没有更多深入和本质性的研究。

  

  彩虹是怎么形成的

  

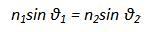
  我们现在知道,彩虹的形成和光的折射有关。所以直到人们发现折射定律,彩虹问题才有条件被解决。光入射到不同介质的界面上会发生反射和折射,入射光和折射光位于同一个平面上,且与法线的夹角满足如下关系:

  

  

  

  其中, n1 和 n2 分别是两个介质的折射率,θ1 和 θ2 分别是入射光(或折射光)与法线的夹角,叫做入射角和折射角。这个定律最早在公元 984 年被波斯科学家 IbnSahl 精确描述。随后又被英国科学家 托马斯·哈利奥特 (1602 年)、荷兰物理学家 威理博?斯涅尔 (1621 年)、法国数学家笛卡尔(1637 年)等人先后独立发现这个定律。

  

  其中,笛卡尔利用折射定律,成功解释了彩虹是如何形成的。笛卡尔假想在一个AFZ 平面内,光线从AF处射出,人眼位于E 处。如果这时把一个代表水滴的圆球放在 BCD 处,那么D 部分将呈现全红色且比其它部分都更明亮。而无论是把球向前向后还是向左向右移动,这个现象均不会改变。笛卡尔测出此时的∠DEM 约为 42°(M 为彩虹的圆心)。之后他将∠DEM 调得稍大一些,观察到红光立刻就消失了,稍小一些,则能看到黄色、蓝色等其它颜色。在仔细检查BCD 处的球后,笛卡尔得出结论:光线AB在B点处射入球体发生折射打到C点,随后在C点处发生反射传递到D点,并在D点再次发生折射而出。

  

  

  

  上面这段话并不太好理解,转化成现代语言就是:以空中的一个水珠为例,如下图所示,光线在水滴内发生两次折射和一次反射。其中α为入射角,β为折射角。容易看到,角D(α)就是最后的光线偏离原始方向的角度。

  

  为什么中午很难看到彩虹

  

  顺带一说的是,你在中午几乎看不到彩虹。因为太阳位于底面圆心(即彩虹的圆心)与人眼连线的延长线上,这导致了彩虹不会出现在中午——太阳越高,彩虹的圆心将越往地平线以下偏移,这使得彩虹整体下移。当然如果从空中俯瞰的话,可以观察到完整的圆形彩虹。如果没有飞机,站在视野开阔的高山之巅也有可能看到。

  

  彩虹是七色的吗?

  

  说完彩虹的形状,不妨再说说彩虹的颜色。一种广为流传的说法是彩虹由 7 种颜色组成。但事实上彩虹是一道由红色到紫色的连续光谱(“光谱”一词最先由牛顿创造),并非真的只是由7种泾渭分明的颜色组成。1665 年牛顿在棱镜实验中将可见光分为红、橙、黄、绿、蓝、靛、紫这7种颜色,实际是受到了来源于古希腊的毕达哥拉斯学派的影响。毕达哥拉斯学派认为数学是美的(比如他们搞出的“黄金分割”),在祷文中他们认为1是纯洁的,4是圣洁的,10是万物之母,而数字7则象征着完美。在牛顿之前,“七原色”(seven principal colours)的概念就已出现在中世纪的神秘主义和炼金术理论之中,并在文艺复兴时期成为遵行的颜色理论。

  


喜欢

相关阅读

最新评论

QQ|Archiver|手机版|爱赣榆

GMT+8, 2025-11-29 20:43 , Processed in 0.101925 second(s), 18 queries .

Powered by Discuz! .

© 2007-2025.

返回顶部